Enhancing UNet3+ Robustness with Weight Perturbation
Abstract
In this paper, we propose a perturbation-based training strategy to enhance the robustness of deep learning models, specifically focusing on the UNet3+ architecture for semantic segmentation tasks. By introducing controlled Gaussian noise into the model weights during training, we simulate real-world variances and evaluate the model's stability under noisy conditions. The proposed methodology follows a three-stage framework: weight cloning, noise injection, and weight recovery. Experimental results demonstrate that the perturbation-trained UNet3+ model maintains high segmentation accuracy, especially when noise is applied only during training but not during inference. This finding highlights the model's improved robustness when trained under noisy conditions.
Introduction
Advancing artificial intelligence (AI) technologies necessitates a comprehensive understanding and simulation of the operational principles of physical systems. Such an understanding is essential for developing robust and adaptable models capable of maintaining performance under real-world imperfections. Recent studies have demonstrated that perturbing neural network models can effectively simulate the behavior of physical components under various conditions, providing valuable insights into model resilience.
In this work, we explore the application of perturbation-based techniques to enhance the robustness of deep learning models in semantic segmentation tasks. By introducing controlled perturbations during both training and inference, we aim to simulate real-world variances and assess the model's ability to maintain accuracy under noisy conditions. This approach is particularly important for building AI systems that must operate reliably despite data imperfections and environmental uncertainties.
Methodology
We adopted the UNet3+ architecture to perform image semantic segmentation, leveraging its full-scale skip connection design to integrate semantic information and spatial features across multiple scales. In this architecture, ResNet34 serves as the encoder, providing a strong backbone for feature extraction. This encoder-decoder structure allows the model to capture both high-level and low-level features effectively, enhancing its performance on complex segmentation tasks.

Image segmentation using UNet3+, a deep learning neural network with encoder-decoder architecture, in which ResNet34 plays a pivotal role as the encoder.
To evaluate and improve the robustness of the model under weight-level perturbations, we introduce a three-stage perturbation training framework, comprising the following steps:
- Weight Cloning – Before injecting noise, the original weights of the model are cloned to ensure their recovery post-evaluation.
- Weight Noise Injection – Controlled Gaussian noise is injected into the weights during forward propagation to simulate hardware-level noise or low-precision inference.
- Weight Recovery – After the forward pass and loss computation, the original weights are restored to preserve the integrity of the training process during backpropagation.
The entire perturbation-aware training procedure is visualized in the image below. At each epoch, noise is sampled from a Gaussian distribution whose standard deviation is proportional to the maximum absolute value of the original weights. The perturbed weights are used only during the forward pass, after which the original weights are recovered for backpropagation. This ensures that learning is guided by clean gradients, while the model is regularly exposed to perturbed conditions.

Flowchart of the weight perturbation strategy applied during training. Noise is generated based on a scaled Gaussian distribution and added to cloned weights. The original weights are recovered after forward propagation to enable stable gradient updates.
The noise generation process for each epoch is defined as:
This process ensures that the model is trained under varying but bounded perturbation conditions, ultimately encouraging robustness against weight-level noise encountered during real-world deployment scenarios.
Weight Cloning
Prior to introducing noise, we clone the original model weights. The cloning process saves a copy of the relevant layer's weights into a dictionary using their unique identifiers, allowing exact recovery after the perturbation phase. This operation ensures that noise application remains non-destructive to model training.
import torch.nn as nn
ORI_WEIGHT = {}
def weights_clone(m):
classname = m.__class__.__name__
if classname.find("Conv") != -1 or classname.find("Linear") != -1 or classname.find("BatchNorm") != -1:
ORI_WEIGHT[id(m.weight)] = m.weight.data.clone()
def weight_clone(m):
if isinstance(m, nn.Conv2d) or isinstance(m, nn.BatchNorm2d):
weights_clone(m)
Weight Noise Injection
During selected phases of training or inference, noise is injected into the cloned weights. For each layer, the maximum absolute value across channels is calculated and scaled by a predefined factor. Gaussian noise is sampled based on this scaled value and added to the weights. The injected noise is further clipped to prevent excessively large perturbations.
import torch
from config.config import cfg
def weights_add_noise(m):
classname = m.__class__.__name__
if classname.find("Conv") != -1 or classname.find("Linear") != -1 or classname.find("BatchNorm") != -1:
channel_max_values = (
cfg.model.n_tr * torch.max(torch.abs(m.weight.view(*m.weight.size()[:-2], -1)), dim=-1).values
)
sigma_delta_W_tr = channel_max_values.view(m.weight.size()[:-2] + (1,) * (len(m.weight.size()) - 2)).expand(m.weight.size())
delta_Gij_l = torch.normal(mean=0.0, std=sigma_delta_W_tr)
delta_Gij_l.clamp_(-cfg.model.alpha * sigma_delta_W_tr, cfg.model.alpha * sigma_delta_W_tr)
m.weight.data += delta_Gij_l
def weight_add_noise(m):
if isinstance(m, nn.Conv2d) or isinstance(m, nn.BatchNorm2d):
weights_add_noise(m)
Weight Recovery
Following the forward propagation under perturbed conditions, the original weights are restored from the saved clones. This recovery step ensures that the model’s parameters are not permanently affected by the introduced noise, allowing consistent training behavior across epochs.
from utils.weight_clone import ORI_WEIGHT
def weights_recover(m):
classname = m.__class__.__name__
if classname.find("Conv") != -1 or classname.find("Linear") != -1 or classname.find("BatchNorm") != -1:
m.weight.data = ORI_WEIGHT[id(m.weight)]
def weight_recover(m):
if isinstance(m, nn.Conv2d) or isinstance(m, nn.BatchNorm2d):
weights_recover(m)
Experimental Results
By following this methodology, the model's behavior under perturbations can be systematically evaluated without compromising the integrity of the learned parameters.

The segmentation result of UNet3+ on the Semantic Boundaries Dataset (SBD). The leftmost image displays the initial object, serving as the model's input. The middle and rightmost images show the actual object categories and the model's predicted outcomes, respectively.
The segmentation results on the Semantic Boundaries Dataset (SBD) confirm that the UNet3+ model, even when subjected to weight perturbations, is capable of maintaining high segmentation accuracy, thus validating the effectiveness of the proposed perturbation strategy.

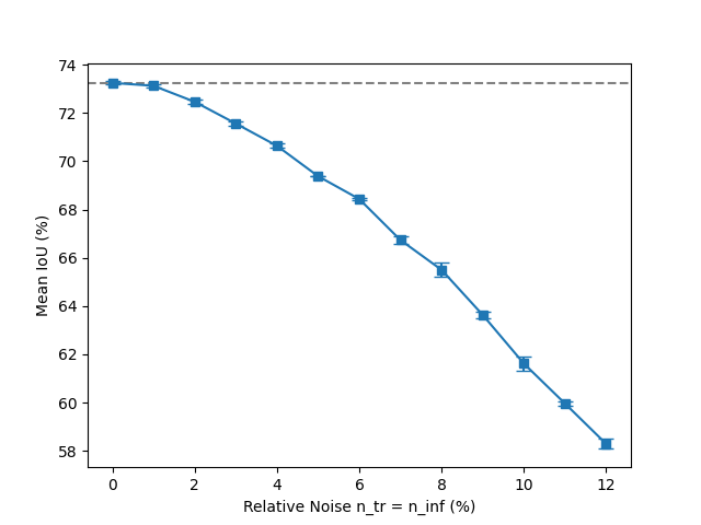
The influence of injecting weight noise only during the training on network accuracy.

The influence of injecting weight noise during the training and inference on network accuracy.
Discussion and Future Work
The demonstrated resilience of UNet3+ to weight perturbations suggests that perturbation-based techniques could be beneficially extended to attention-based architectures, where minor input variations often have significant impacts on model stability. Enhancing the robustness of attention mechanisms could lead to improved performance in tasks requiring fine-grained feature detection and sequence-to-sequence learning, such as machine translation, visual question answering, and multimodal learning.
Building on this work, one promising research direction involves applying perturbation-based training to pose estimation tasks. In pose estimation, models must accurately identify and track key body landmarks, often from noisy, occluded, or low-resolution inputs. Incorporating noise during training could improve the resilience of pose estimation models, leading to more stable landmark detection even under challenging conditions such as partial visibility or poor lighting.
Another important avenue for future exploration is the extension of perturbation techniques to Large Language Models (LLMs), including architectures such as GPT and BERT. These models, though traditionally trained on clean text corpora, could benefit from perturbation-enhanced training to better handle ambiguous or incomplete inputs. Introducing structured noise during training could increase the robustness of LLMs, making them more resistant to adversarial examples and better suited for real-world deployments where input data quality cannot always be guaranteed.
Furthermore, the integration of LLMs into multimodal systems combining vision and language underscores the need for stability across different modalities. Applying perturbation strategies to both visual and language branches could strengthen the overall performance of multimodal systems, improving their effectiveness in tasks such as image captioning, cross-modal retrieval, and video understanding.
Finally, the role of activation functions in influencing model robustness under perturbations presents another exciting research opportunity. Activation functions are critical in shaping neural network behavior, and investigating their interaction with noise could lead to the design of new activation functions optimized for resilience. Such developments could enhance the generalization ability of models in both visual recognition and natural language processing tasks, paving the way for the next generation of highly resilient AI systems.